Trong nghiên cứu khoa học xã hội và quản trị, các học giả không chỉ quan tâm đến việc một biến có ảnh hưởng đến biến khác hay không, mà còn đặt ra hai câu hỏi quan trọng hơn: vì sao mối quan hệ đó xảy ra và trong điều kiện nào mối quan hệ đó trở nên mạnh hơn hoặc yếu hơn.
Mô hình trung gian (mediation) giúp giải thích cơ chế tác động giữa biến độc lập và biến phụ thuộc, trong khi mô hình điều tiết (moderation) giúp xác định điều kiện làm thay đổi mức độ tác động. Tuy nhiên, trong nhiều trường hợp thực tế, cơ chế tác động này không cố định, mà thay đổi tùy theo bối cảnh hoặc đặc điểm của đối tượng nghiên cứu. Từ đó, mô hình moderated mediation ra đời như một cách tiếp cận tổng hợp, cho phép phân tích sâu và linh hoạt hơn.
1. Mô hình moderated mediation là gì?
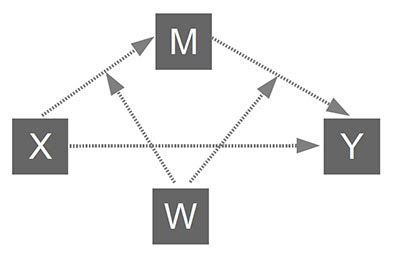
Moderated mediation (trung gian có điều tiết) là mô hình kết hợp biến trung gian (mediation) và biến điều tiết (moderation), dùng để trả lời câu hỏi “Tác động gián tiếp của X lên Y thông qua M có thay đổi theo mức độ của một biến điều tiết W hay không?”.
- Mediation: X → M → Y (X ảnh hưởng Y thông qua M).
- Moderation: Mức độ/chiều hướng ảnh hưởng phụ thuộc vào W.
- Moderated mediation: Tác động gián tiếp (X → M → Y) khác nhau khi W thay đổi.
Giả sử trong một nghiên cứu hành vi người tiêu dùng:
- X: Chất lượng dịch vụ
- M: Sự hài lòng của khách hàng
- Y: Ý định mua lại
- W: Thu nhập
Kết quả cho thấy chất lượng dịch vụ làm tăng sự hài lòng, và sự hài lòng làm tăng ý định mua lại. Tuy nhiên, mức độ tác động gián tiếp này mạnh hơn ở nhóm khách hàng có thu nhập cao so với nhóm thu nhập thấp. Khi đó, thu nhập đóng vai trò điều tiết tác động trung gian, và mô hình nghiên cứu được xác định là moderated mediation.
Để kiểm định mô hình này, Macro PROCESS do Andrew Hayes phát triển trên SPSS được xem là một công cụ phân tích hiệu quả, dễ sử dụng và đã được áp dụng rộng rãi trong nhiều nghiên cứu, với tần suất trích dẫn cao trong các công bố quốc tế.
2. Các model moderated mediation trong PROCESS
Trong các phiên bản PROCESS v3 và v4, những mô hình moderated mediation được sử dụng phổ biến bao gồm các dạng sau:
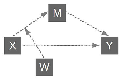
2.1 PROCESS moderated mediation Model 7

Trong mô hình này, biến điều tiết W tác động đến mối quan hệ X → M (đường a), trong khi biến trung gian M tiếp tục ảnh hưởng đến Y theo cơ chế trung gian thông thường. Do đó, mức độ tác động của X lên M phụ thuộc vào W, dẫn đến hiệu ứng gián tiếp X → M → Y thay đổi theo các mức khác nhau của W.
Ví dụ: Ảnh hưởng của chiến dịch quảng cáo (X) đối với thái độ thương hiệu (M) phụ thuộc vào mức độ gắn bó thương hiệu trước đó (W); sau đó, thái độ thương hiệu tiếp tục tác động đến ý định mua (Y).
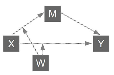
2.2 PROCESS moderated mediation Model 8

Trong mô hình này, biến điều tiết W tiếp tục điều tiết mối quan hệ X → M (đường a) tương tự Model 7, đồng thời W cũng có tác động trực tiếp đến biến phụ thuộc Y. Vì vậy, biến W vừa làm thay đổi tác động gián tiếp X → M → Y, vừa ảnh hưởng trực tiếp đến kết quả Y.
Ví dụ: Gắn bó thương hiệu (W) không chỉ điều tiết ảnh hưởng của quảng cáo (X) lên thái độ thương hiệu (M), mà còn tác động trực tiếp đến ý định mua (Y).
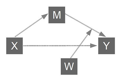
2.3 PROCESS moderated mediation Model 14

Trong mô hình này, biến điều tiết W tác động đến mối quan hệ M → Y (đường b), trong khi đường X → M không chịu sự điều tiết. Do đó, ảnh hưởng của M lên Y thay đổi theo các mức khác nhau của W, khiến hiệu ứng gián tiếp X → M → Y trở thành một hiệu ứng có điều kiện.
Ví dụ: Thái độ đối với xe điện (M) tác động đến ý định mua (Y) mạnh hơn trong trường hợp mức độ am hiểu công nghệ (W) ở mức cao.
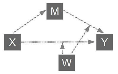
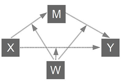
2.4 PROCESS moderated mediation Model 15

Trong mô hình này, biến điều tiết W đồng thời tác động đến cả hai mối quan hệ X → M (đường a) và M → Y (đường b). Do đó, tác động gián tiếp của X lên Y thông qua M thay đổi theo W ở cả hai giai đoạn của quá trình trung gian.
Ví dụ: Trình độ học vấn (W) không chỉ ảnh hưởng đến cách chương trình đào tạo (X) hình thành kiến thức (M), mà còn tác động đến việc kiến thức (M) được chuyển hóa thành hiệu suất làm việc (Y).
2.5 PROCESS moderated mediation Model 58

Trong mô hình này, biến điều tiết W điều tiết đồng thời hai mối quan hệ X → M và M → Y, không tồn tại tác động trực tiếp từ W đến Y. Vì vậy, hiệu ứng gián tiếp X → M → Y thay đổi theo W ở cả hai chặng của quá trình trung gian, trong khi W chỉ giữ vai trò điều tiết mà không ảnh hưởng trực tiếp đến kết quả.
Ví dụ: Trình độ học vấn (W) vừa điều tiết mối quan hệ giữa quá trình đào tạo (X) và kiến thức (M), vừa điều tiết mối quan hệ giữa kiến thức (M) và hiệu suất làm việc (Y).
2.6 PROCESS moderated mediation Model 59

Trong mô hình này, biến điều tiết W tương tự Model 58, điều tiết đồng thời hai mối quan hệ X → M và M → Y, đồng thời W cũng có tác động trực tiếp đến biến phụ thuộc Y. Do đó, W tham gia vào toàn bộ các hướng tác động của mô hình, vừa làm thay đổi hiệu ứng gián tiếp X → M → Y, vừa ảnh hưởng trực tiếp đến kết quả Y.
Ví dụ: Trình độ học vấn (W) không chỉ làm thay đổi tác động của đào tạo (X) lên kiến thức (M) và tác động của kiến thức (M) lên hiệu suất làm việc (Y), mà còn ảnh hưởng trực tiếp đến hiệu suất (Y).
3. Phân tích moderated mediation bằng macro PROCESS v4 trên SPSS
Để phân tích mô hình trung gian có điều tiết bằng phương pháp bootstrap trong SPSS, nghiên cứu này sử dụng macro PROCESS do Andrew F. Hayes phát triển. Trước tiên, người nghiên cứu cần cài đặt PROCESS Macro theo hướng dẫn tương ứng với các phiên bản SPSS từ 20 đến 31 tại bài viết này.
3.1 Chuẩn bị tập dữ liệu phân tích
Giả sử tập dữ liệu nghiên cứu được cấu trúc như sau:
- Biến độc lập (X): gồm các biến quan sát X1, X2, X3
- Biến phụ thuộc (Y): gồm các biến quan sát Y1, Y2, Y3
- Biến trung gian (M): gồm các biến quan sát M1, M2, M3
- Biến điều tiết (W): gồm các biến quan sát W1, W2, W3
Trên cơ sở đó, tiến hành tính giá trị trung bình của các biến quan sát thuộc từng thang đo nhằm tạo ra bốn biến tổng hợp đại diện cho các biến tiềm ẩn X, Y, M và W. Những biến tổng hợp này sau đó được sử dụng làm dữ liệu đầu vào cho phân tích mô hình moderated mediation bằng PROCESS Macro trên SPSS.

2.2 Thực hành phân tích moderated mediation bằng PROCESS trên SPSS
Trên giao diện SPSS, người nghiên cứu truy cập Analyze → Regression → PROCESS v4.2 by Andrew F. Hayes để mở hộp thoại phân tích.

Bước 1 – Lựa chọn mô hình
Tại mục Model number, chọn mô hình moderated mediation phù hợp với giả thuyết nghiên cứu gồm các Model: 7, 8, 14, 15, 58 hoặc 59.
Bước 2 – Khai báo các biến trong mô hình
- Đưa biến phụ thuộc vào ô Y Variable
- Đưa biến độc lập vào ô X Variable
- Đưa biến trung gian vào ô Mediator(s) (M)
Bước 3 – Khai báo biến điều tiết
Đưa biến điều tiết vào ô Moderator Variable (W).
Sau khi hoàn tất việc khai báo các biến, người nghiên cứu tiếp tục nhấp vào nút Options để thiết lập các tùy chọn phân tích tiếp theo.

Trong cửa sổ Options, tiến hành thiết lập các tùy chọn cần thiết (chẳng hạn bootstrap, khoảng tin cậy, mean-centering…) theo hướng dẫn minh họa. Sau đó, nhấp Continue để quay lại cửa sổ PROCESS chính và cuối cùng chọn OK để SPSS thực hiện phân tích và xuất kết quả trong Output.

3. Cách đọc kết quả moderated mediation model PROCESS (7, 8, 14, 15, 58, 59)
Theo quan điểm của Andrew F. Hayes (2018), việc kết luận moderated mediation không nên dựa trên ý nghĩa thống kê của từng hệ số tương tác riêng lẻ trong các phương trình hồi quy. Thay vào đó, cần kiểm định trực tiếp chỉ số moderated mediation (Index of Moderated Mediation). Chỉ số này phản ánh mức độ thay đổi của tác động gián tiếp theo biến điều tiết và được ước lượng kèm theo khoảng tin cậy bootstrap.
Cụ thể:
- Nếu khoảng tin cậy bootstrap của chỉ số moderated mediation không chứa giá trị 0, có thể kết luận tồn tại tác động trung gian có điều tiết.
- Ngược lại, nếu khoảng tin cậy chứa giá trị 0, thì không có đủ bằng chứng thống kê để khẳng định sự tồn tại của moderated mediation, bất kể các hệ số tương tác điều tiết (ví dụ X×W) trong mô hình có đạt ý nghĩa thống kê hay không. Nói cách khác, ý nghĩa của quan hệ điều tiết riêng lẻ không quyết định ý nghĩa của moderated mediation.
Tiêu chí kết luận moderated mediation có ý nghĩa
Một mối quan hệ trung gian có điều tiết được xem là có ý nghĩa thống kê khi thỏa mãn điều kiện sau:
- Khoảng tin cậy bootstrap (CI) không chứa giá trị 0 → quan hệ moderated mediation có ý nghĩa.
- Khoảng tin cậy bootstrap (CI) chứa giá trị 0 → quan hệ moderated mediation không có ý nghĩa.
Mặc dù ý nghĩa của quan hệ điều tiết riêng lẻ không phải là tiêu chí kết luận trọng tâm, nhà nghiên cứu vẫn nên trình bày và thảo luận các kết quả tương tác điều tiết nhằm cung cấp cái nhìn toàn diện hơn về cấu trúc và cơ chế vận hành của mô hình.
Ví dụ minh họa có thể được trình bày với kết quả phân tích PROCESS Model 7; cách diễn giải này tương tự cho các model còn lại.

→ Biến tương tác Int_1 có giá trị p của kiểm định t bằng 0.000 < 0.05, cho thấy tương tác giữa X và W có ý nghĩa thống kê, từ đó khẳng định biến W đóng vai trò điều tiết mối quan hệ giữa X và M. Hệ số điều tiết mang giá trị 0.354 > 0, cho thấy khi W tăng, mức độ tác động của X lên M trở nên mạnh hơn.

→ Phần trọng tâm:Khoảng tin cậy bootstrap của tác động gián tiếp có điều tiết nằm trong khoảng [0.150; 0.383], không bao gồm giá trị 0. Do đó, có thể kết luận rằng tác động gián tiếp X → M → Y được điều tiết bởi W là có ý nghĩa thống kê, với hệ số tác động trung gian ước lượng bằng 0.244.
———-
Nguồn:
Hayes, A. F. (2018). Introduction to Mediation, Moderation, and Conditional Process Analysis: A Regression-Based Approach (Methodology in the Social Sciences) (2nd ed.). New York, NY: The Guilford Press.